氮沉降的持續增加會通過改變土壤C:N:P比例來影響草地生態系統。然而,關于氮沉降對土壤C:N:P的影響仍存在爭議。此外,前期大多數研究側重于氮沉降對天然草地的影響,而對氮沉降對放牧草地土壤C:N:P的影響研究相對較少。因此,有必要研究放牧和未放牧草地上氮沉降對土壤C:N:P的影響,并厘清這種差異。
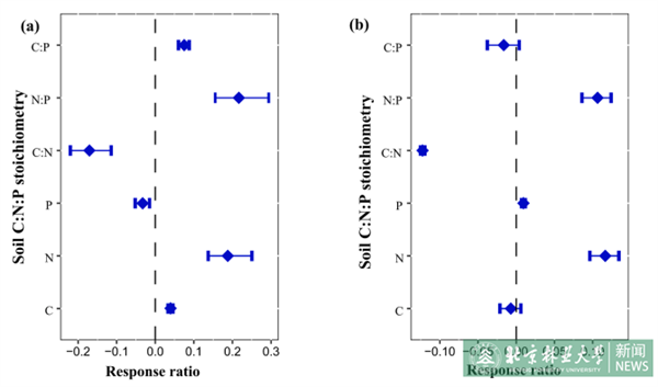
近日,我校草業與草原學院董世魁研究團隊在青藏高原的高寒草甸和高寒草原兩種草地類型的未放牧和放牧草地上進行了模擬氮沉降實驗,同時設置對照和+N(8kgNha-1yr-1)處理。研究結果對氮沉降的影響效應進行了量化,發現氮沉降對未放牧和放牧草地的土壤C:N:P的影響存在差異。未放牧草地的土壤C:N:P受到氮沉降的影響較為顯著,而放牧草地僅有土壤氮、磷含量以及土壤碳氮比和氮磷比受到氮沉降的顯著影響(圖1)。在放牧草地,氮沉降的影響效應從未放牧草地的30%顯著降低到12%(圖2),這表明放牧可能會在一定程度上削弱氮沉降對土壤C:N:P的影響。此外,其他氣候和環境因素如溫度、降水和草地類型也可以在一定程度上調節氮沉降對草地土壤C:N:P的影響。

圖1:氮沉降對未放牧(a)和放牧(b)草地土壤C:N:P的影響

圖2:未放牧草地(a)和放牧草地(b)土壤化學計量學的氮沉降效應貢獻度分析(VPA)
上述研究結果以“Livestock grazing may weaken N deposition effects on soil C:N:P stoichiometry in alpine grassland of the Qinghai-Tibetan Plateau ”為題發表在中科院一區TOP期刊CATENA上。北京林業大學為第一通訊單位,北京林業大學草業與草原學院青年教師沈豪為論文第一作者,北京林業大學草業與草原學院董世魁教授為通訊作者。上述研究得到了2021北京林業大學新進青年教師啟動基金(BLX202166)和第二次青藏科考項目(2019QZKK0307)的支持。
原文鏈接:https://doi.org/10.1016/j.catena.2023.107502
Shen, H., Dong, S., Li, S., Zheng, H., Wang, Q., Liu, J., ... & Yang, X. (2023). Livestock grazing may weaken N deposition effects on soil C: N: P stoichiometry in alpine grassland of the Qinghai-Tibetan Plateau. CATENA, 233, 107502.