近期,草業與草原學院研究團隊以“Effects of exogenous organic/inorganic nitrogen addition on carbon pool distribution and transformation in grassland soil”為題,在國際環境科學領域一區TOP期刊《Science of the Total Environment》(IF="10.753)發表研究論文,進一步揭示了外源有機/無機氮添加對草地土壤碳庫分布和轉化的影響機制。
在陸地生態系統中,土壤儲存了最大的有機碳庫,氮沉降會影響植物多樣性、植物生物量、土壤礦化速率和土壤微生物活性,從而影響碳的固存。不同的氮形態可能會使土壤有機碳對氮沉降的響應不同,因此在研究氮沉降對有機碳的影響時,不應該忽略氮的添加形式。土壤有機質可分為顆粒態有機質(POM,主要來源于植物)和礦物結合態有機質(MAOM,來源于微生物殘留物),前者中的有機碳周轉率較高,易受環境變化的影響,后者中的有機碳周轉緩慢,更為穩定。過去,大多數關于氮添加對草地土壤有機碳影響的研究都集中在單一類型的氮添加下,而關于有機氮和無機氮混合添加對草地土壤有機碳庫分布和穩定性的影響仍不清楚。
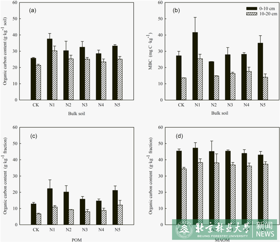
研究團隊對內蒙古草甸草原進行為期5年的田間氮添加試驗,施用不同比例無機氮(IN)和有機氮(ON),測定了土壤、POM、MAOM中有機碳的含量,同時進行了短期的土壤培養試驗,評估潛在有機碳礦化,進而探討不同類型氮添加對土壤有機碳庫分布和轉化的影響。研究顯示,不同添加比例的IN/ON對土壤有機碳含量沒有顯著影響,但氮素添加降低了微生物生物量碳氮比、MAOM的比例、累積CO2排放量和微生物代謝熵。與單獨添加ON相比,單獨添加IN對不同土壤組分碳含量和土壤有機碳礦化的影響更大,POM比MAOM對氮添加更敏感。該研究結果表明,在評價氮添加類型對草地土壤有機碳的影響時,應考慮有機態和無機態氮對不同周轉速率下有機碳庫分布的影響。

圖1.不同比例有機/無機氮添加處理對土壤、MBC、POM、MAOM中有機碳含量的影響

圖2.不同比例有機/無機氮添加處理對有機碳組分的影響
我校草業與草原學院2019級碩士研究生汪夢寒為論文第一作者,李富翠副教授為通訊作者,韓烈保教授參與指導工作。本研究得到中央高校基本科研專項資金(BLX201940)的資助。